"ЭНЕРГОИНФОРМАЦИОННОЕ ПОЛЕ"

""Цифровой пакет" "1248751" энергоинформационного поля, "Закон "777" "7", "Код да Винчи", "Закон Египетских пирамид", "Код жизни", "Код ДНК""


«Ничего нового не будет. Все, что можно было изобрести, уже изобретено.»

Чарльз Г.Дуелл, руководитель американского патентного бюро, 1899 г.


Материя - есть возбужденное состояние динамической геометрии…
Геометрия предопределяет законы движения материи…
Уиллер Дж. Предвидение Эйнштейна


За последнее время в науке накопилось много фактов, которые находятся в прямом противоречии с общепринятыми мировоззренческими концепциями и следствиями, вытекающими из них.

Часто такие явления относятся к категории аномальных, т.к. они с позиций современной науки просто не могут существовать.

Наша неспособность реально оценивать окружающих мир проявляется в монополизме четырехмерного континуума при формировании общепринятых взглядов.

В последнее время в открытых источниках всё чаще стали появляться работы на тему информационных полей, отчасти они являются продолжением мыслей русских философов космистов, отчасти работы детерминированы новыми для естествознания факторами. Эти работы можно отнести к собственно научным, околонаучным, и просто популяризаторским.

При этом во всех ведущих странах мира интенсивно ведутся работы по расшифровке кода окружающих энерго-информационных структур, структуры вакуума, алгоритмов передачи информации, торсионных полей, финансируемых государственными организациями и частными фирмами.

Косвенным подтверждением проводимых в ведущих странах мира работ по указанной выше проблеме являются высказывания отдельных политиков США о возможности использования оружия несмертельного действия (ОНСД) в некоторых странах при локальных конфликтах.

К числу видов ОНСД относятся: лазерное оружие, СВЧ-оружие, оружие несмертельного действия и др.

Информационное воздействие на человека не изучено или проводится бессистемно. Имеются данные о возможности передачи генетической и биологической информации от одного живого объекта на другой.

Проводятся исследования по природе спинорных, торсионных, гравитационных полей.

Для передачи информации из одной точки пространства в другую достаточно в генератор спинорного излучения ввести информацию о месте приемки в виде какого-либо адресного признака, например виде фотографии человека и тогда воздействие будет сказываться на этого человека, где бы он не находился (адресно-целевой ПИД-эффект).

Проводятся работы по теории и практической реализации информационно-энергетической диагностики и коррекции состояний организма, интенсивно проводятся работы по созданию психогенераторов с различными видами насадок, при этом воздействие ведется только одним видом излучения “черного ящика”.

Созданные различные электрические приборы высокочастотных режимов действия, новое поколение компьютеров, видеомагнитофонов и т.д., представляют собой “черные ящики”, работающие с окружающим энерго-информационным полем и которые, реагируя на его изменения, выбрасывают потоки энерго-информационных воздействий; при включении в сеть они становятся накопителями и излучателями, в том числе и любой внешней подаваемой энерго-информационной передачи.

Проведенный системный анализ различных областей знаний показал, что теории и постулаты, заложенные в настоящее время в базис науки, не объясняют наблюдаемых явлений и не дают решения по практическому движению вперед в области создания новой техники и технологий. Это потребовало системного переосмысления наблюдаемых явлений, начиная от понятия электрон, ион, масса, электромагнитное поле, заряд, число, точка, линия, пространство и т.д. и переходу к понятию “энерго-информационное поле”.

В рамках решения проблемы “Энерго-информационное поле” разработан алгоритм энерго-информационной передачи, произведено математическое моделирование сотовой матричной структуры окружающего пространства

Мы представляем себе только три пространственных и одну временную координаты. Таковы предельные возможности нашего восприятия, ограниченного «световым пространством».

Для человеческого восприятия существует предел осознаваемой мерности, через который мы переступить не можем. Поэтому мы подсознательно стремимся все что познаем, свести к закономерностям понятного нам четырехмерного континуума. Всякие попытки выйти за привычный барьер «зрительного» четырехмерного континуума вызывают у нас вполне понятные чувства протеста, а любые наблюдаемые явления, которые не укладываются в общепринятые понятия современной науки и не имеющих объяснения, в большинстве случаев, сводятся к мистическому, спекулятивному трактованию и которые якобы лишены конкретного физического содержания.

Признавая факт существования многомерности пространства в микромире, большинство физиков отрицают допустимость использования этой концепции при рассмотрении проблем макромира. Но даже и в микромире многомерность в какой-то степени пытаются свести к привычному четырехмерному континууму.

Предполагается, что существует некоторая неопределенная, недоступная для человека сфера. Иногда подобные толкования использовались для подтверждения и объяснения существования бога, рая, ада и т.д..

Предполагается, что высшие пространственные измерения существуют где-то за гранью реального восприятия окружающего мира и могут рассматриваться как элементы четырехмерного континуума без нарушения его структуры и строения. Это свидетельствует о мировоззренческом кризисе в современных фундаментальных науках.

В процессе познания человеком окружающего пространства во все времена действовал и действует закон усреднения, по которому каждому периоду развития человечества соответствует определенный уровень знаний, характерный для данной эпохи и соответствует существующему миропониманию.

Все, что ниже установленного для данного уровня познания, отбрасывается как примитивное, а все, что выше - как не соответствующее данным науки.

Человеческое сознание в силу ограниченности пространственных представлений многомерности при столкновении с непонятными вещами производит «сглаживание» –«округление» получаемой информации.

Если данное «сглаживание» - «округление» получаемой информации использовалось человечеством в течение определенного времени в различных расчетах, то в большинстве своем человек уже не возвращается к пересмотру базовых основ, положивших первоначальное «округление».

Все это в конечном счете приводит к тому, что «ошибка», заложенная в основу базы знаний в самом начале, приводит к непониманию самых элементарных вещей, явлений в будущем.

Человек познает окружающий мир через сравнение – отношение, вводя в каждой базе знаний свою «метрическую» начальную базовую «1», соответствующую уровню знаний на момент ее введения.

Базовая «1» находится в центре на стыке внешнего и внутреннего фрактально-иерархического информационного сотового пространства.

С течением времени база знаний в данной метрической области возрастает и появляются противоречия.

В настоящее время «кризисные явления» наблюдаются во всех областях знаний.

В результате «огрубление», заложенное в фундамент начальных базовых «1» в случае нарастания объема баз знаний происходит усложнение, непонимание наблюдаемых физических явлений, теории вступают в противоречие с окружающей действительностью, что требует периодического возврата к начальным базам данных с обновлением системы начальных базовых метрических «1».

Для сравнения различных наблюдаемых физических явлений человеком введены знаковые системы – буквы, символы, числа.

Буквы собираются в слова, фразы, тексты, несут в себе единые законы преобразования информации, действующие одинаково как в живой, так и неживой природе.

Наиболее часто для описания наблюдаемых явлений человек использует знаковую систему - числа, как меру отношения информационных длин соизмеряемых объектов в n-мерном пространстве.

Следует сразу особо подчеркнуть, что числа, пока они не отнесены к конкретным объектам, описывают n-мерное пространство.

Число отражает сущность информационного объекта. Человеком в результате практического соизмерения объектов окружающего пространства введены различные математические операции с числом – сложение, вычитание, умножение, деление и т.д. При этом «1» расположена в начале координат изучаемых явлений и является основой всех наблюдаемых событий. Базовая «1» расширяет внешнее информационное пространство и уплотняет внутреннее сотовое пространство.

В результате математических операций мы в неявном виде производим операции сравнения физических информационных объектов, событий.

Поэтому любой объект – n-мерном пространстве можно охарактеризовать сочетанием чисел «связанных» между собой законом 777 (7) и представляющих в каждом случае заданную «программу» разворачивания информации от базовой «1». При этом каждое число- это «программная» информация об объекте.

Еще Пифагор утверждал, что «число есть сущность всех вещей и организация Вселенной в ее определениях представляет вообще гармоническую систему чисел и их отношений».

«1» сама по себе неустойчива и способна «размножаться», распаковываясь, накапливать информацию, снова превращаясь в «1» следующего уровня.

Основой гармонии окружающего нас мира, взаимосвязи всех явлений, процессов, объектов является выполнение одного информационного алгоритма – программы, которая гармонично связывает числа, буквы, символы, образы, любой материальный. нематериальный объект. При этом данный алгоритм приема – передачи информации един как для «живой», так и для «неживой» природы. Эта взаимосвязь определяет системную гармонию природы.

Поэтому любой материальный, нематериальный объект может быть описан - охарактеризован любым символом, числом.

В конечном счете, данное описание автоматически синхронизировано – фазировано с другими символами, которыми можно описать данный объект.

Поэтому в практической деятельности мы оперируем цифровой информацией (как мерой отношения информационных объектов и при этом сопоставляя цифровую (численную) информацию мы, в конечном счете, оперируем, того не понимая, с пространственными n-мерными информационными объектами или их проекциями в нашей мерности, будь то скорость, время и т.д.

Поэтому при сопоставлении накопленных цифровых (численных) баз данных в различных областях науки мы везде находим проявление одних и тех же законов.

При этом язык и речь являются внешними средствами информационного общения и познания человеком окружающего мира.

Алгоритм взаимосвязи знаков, букв, символов, чисел подчиняется одному и тому же «цифровому» (числовому, знаковому) закону 777 (7) информационного взаимодействия и используется человеком (априорно) как в виде речи, так и при описании объектов.

При этом каждое направление науки, введя начальные базовые метрические «1», исследуя какую- либо область окружающей нас природы или предметы «Всего сущего», образует иерархический научный ряд знаний.

Ученые, расчленив познание природы на отдельные специальные направления, «специализируются» в данных направлениях, дают сокращенное описание этих направлений под наименованием законов природы, которые являясь частями единого алгоритма информационного взаимодействия, в настоящее время ведут самостоятельное обособленное существование в созданных человеком областях знаний как «лебедь» «рак» и «щука».

Такими основными направлениями, которые установились в естественной науке, как бы сами по себе, являются: Математика, Физика, Химия, Астрономия, Геология, Биология и др.

Специализация исследователей в конкретных областях знаний с одной стороны позволяет «сосредоточить» исследователей в данной области знаний, но в то же время является ее же «тормозом», когда «открыть» дверь между «смежными» областями знаний (при правильном открывании) можно без всяких усилий, в нашем случае все происходит наоборот. В каждой сфере науки накапливается все более возрастающее количество фактов, а методы исследования достигают очень высокого совершенства и точности с применением принятых базовых «1». Но специализация на основе принятых базовых метрических «1» в каждой области знаний стоит в противоречии с тенденцией к единству познания. Она разрывает исследуемую проблему на части, причем каждая часть организуется на основе принятых базовых метрических «1» самостоятельно и замыкается на себя. В результате этого возникает большое количество отрицательных явлений, из которых характерными являются чрезмерное нагромождение неадекватных фактов и разнородных приемов исследования, а также условность и относительность научных положений в силу их специального характера и в результате вместо того чтобы «легко» открыть дверь в смежную область знаний или их «объединить» исследователь все время пытается ее «открыть» в противоположном направление, предпринимая неимоверные усилия для ее открытия, тратя на «открытие» неимоверные средства.

При этом каждая наука, используя свою метрику, предопределяет себе объект исследования, устанавливает свой стиль и законченную систему научных понятий, терминов, теоретических подходов и при постановке исследования всегда предпосылает определенные правила методов мышления (логики), определяет методы исследования и правила обращения с этими методами. И хотя каждая наука строится по этому «установленному» признаку, тем не менее, в различных энциклопедических изданиях и монографиях, где дается определение конкретной науки как таковой, определение, которое должно строго очертить область ее применения и поставить четкие границы, за пределы которых она не может выйти, имеются существенные разночтения.

Изолированное развитие теоретических подходов в той или иной отрасли науки, в которой используется своя метрика, хотя все они решают одну задачу познания окружающего нас пространства, приводит к различной терминологии и к разным формам записи одних и тех же соотношений, что практически не дает возможности сопоставить между собой результаты исследований. Даже в отдельных разделах той или иной науки наблюдается отсутствие единообразия в терминологии.

Строительство храма Науки напоминает возведение Вавилонской башни, где каждый строитель говорит на своем языке с использованием своей знаковой метрики, да и к тому же использует свой собственный композиционный материал, отличный по размеру, форме и качеству от других строительных материалов.

Классическая физика имеет дело с физическими величинами. Квантовая механика заменяет физические переменные символы математическими символами.

За частоколом формул, символов, знаков теряется первоначальный смысл физических законов.

В результате развития квантовой механики математический аппарат квантовой механики превратился в нечто такое, что существует само по себе.

Несмотря на то, что многомерное пространство в большинстве случаев рассматривалась как математическая абстракция, не имеющая никакого физического смысла, ее свойства и закономерности привели к возможности проведения системного анализа различных областей знаний.

Специализация в областях знаний конечно является необходимым этапом в развитии познания окружающего нас мира, но «несет» под собой мину замедленного действия, связанную с тем, что любой человек «специализирующийся» в определенной области знаний, несет в себе только тот объем информации, который ему необходим для использования в познании, а остальную часть знаний хранится в виде различных книг, электронных носителей и поэтому при разработке новой техники, проведении новых исследований необходимо «объединить» в один информационный ряд необходимых специалистов, несущих в себе необходимую «специализированную» информацию.

В случае «потери» какого либо «информационного» носителя «создать», «объединить» необходимую команду специалистов становится невозможным, также невозможным становится и создание новой техники и дальнейшее развитие данного направления науки. При этом в своем большинстве все направления развития науки, техники определяются одним человеком, несущем в себе «интегральную» информацию (базовую «1») данного научного направления.

«Специализация» в различных областях знаний приводит в случае «потери» базовой «1» к «потере» целого научного направления, а в случае каких либо экстремальных событий, катастроф к полному «обнулению» знаний человечества, т.к. для «восстановления» необходимой «информационной» цепочки, необходимой для восстановления накопленной ранее базы знаний, будет не хватать необходимой информационной «1» или требует «повторного» прохождения ранее пройденного пути познания.

В случае какой либо чрезвычайной ситуации человечество не имея «ручки», носителей для отражения «оставшейся» информации кроме как на словах даже не сможет объяснить будущему поколению, как работал телевизор, как передавались радиосигналы, как работала обычная машина, как работал аккумулятор и т.д. и т. п.

Анализ информации, дошедшей до нашего времени, показывает, что, к нашему сожалению, человечество проходит свой путь познания и своего развития не в первый раз и что в прошлом человечество обладало более высокими знаниями, чем мы обладаем сейчас.

Судить об этом можно по «дошедшем» до нашего времени в различных рисунках, изображениях алгоритма закона «777» «7» заложенного в «мнемосхеме»:



в котором «заложен» закон 777 (7) и элементарная «распаковка» которого позволяет вывести все законы и уравнения физики, химии, биологии, математики и т.д. с использованием обычного калькулятора, не прибегая к дорогостоящим экспериментам.

Системный анализ имеющихся баз данных в различных областях знаний показал, что теории и постулаты, заложенные в настоящее время в базис науки, не объясняют наблюдаемых явлений и не дают решения по практическому движению вперед в области создания новой техники и технологий.

Это потребовало системного переосмысления наблюдаемых явлений, начиная от понятия электрон, ион, масса, электромагнитное поле, заряд, число, точка, линия, пространство и т.д. и переходу к понятию “энергоинформационное поле”, к понятию «цифровой» пакет.

Не откидывая накопленных баз экспериментальных данных (числовых) в различных областях знаний, был проведен системный анализ «метрик», базовых «1» заложенных в основы областей знаний, изменены подходы к устоявшимся философским понятиям, постулатам и проведена “свертка” всех видов «числовых» баз данных к формализованной «цифровой» “1” - “цифровому”- “волновому” пакету, интегрирующему в себе все понятия - электрон, атом, масса, частица, волна, время, скорость, шар, окружность, точка, линия, геометрическая фигура, число, жизнь, смерть и т.д. и перейти к понятию “энергоинформационное поле”, как к некой компьютерной программе которая «управляется» «супервычислительной» машиной и которая обеспечивает выполнение жесткого программного алгоритма при приеме - передаче информации как в «живой» и «неживой» природе, к понятиям «материализации», «дематериализации» информационных объектов и т.д.

В результате “свертки” баз данных установлен математический и «геометрический» алгоритм, закон приема - передачи информации, имеющей “внешнюю” структуру “волнового” «цифрового» пакета, подчиняющегося закону “777” “7” ( 4-я “7” “сопровождает три семерки “777”) , который включает в себя двоичный код, десятичную систему счислений, числа Фибоначчи, золотое сечение, совершенный ряд чисел и другие понятия, постоянные, существующие законы, постоянные.


Алгоритм информационного взаимодействия при приеме - передаче информации




Блок-схема «фазового» движения «цифрового пакета» «1248751»




Таблица 1. Связь атомного веса водорода (Н) с существующими значениями универсальных постоянных «пи», «фи», «е»



Таблица. 2. Закон 777 (7) («Код да Винчи», код приема – передачи информации энергоинформационного поля, закон «Египетских пирамид»). Взаимосвязь универсальных постоянных «пи», «фи», «е» определенных из «цифрового» пакета «энергоинформационного» пространства с атомными весом.




Закон 777 (7):

где,

пи = внутренняя программа,

фи = программа масштабирования

е = программа спирали.

Атомный вес водорода Ан (в у.е) в п-мерном «энергоинформационном» пространстве = 1

пи х фи = 5,076923076923076923076923076923076923……. e х фи = 5,076923076923076923076923076923076923……..

При этом пи , фи , е с третьего знака после запятой отличны от общепринятых значений и имеют постоянную «фазовую» “циклику” при переходе с уровня на уровень;

Таблица. 3. Сопоставление существующих универсальных математических постоянных с универсальными математическими постоянными, определенными из «цифрового» пакета





При этом все свойства информационных объектов, а главное, законы их функционирования, определяются геометрическими, «информационными» параметрами, преобразующимися в n-мерном пространстве по жесткому алгоритму «777» «7» (четвертая «7» «сопровождает» три «777») и выполняются по «жесткой» установленной «программе» пи, фи, е.

пи = внутренняя программа,

фи = программа масштабирования

е = программа спирали.

Волновой (цифровой) пакет при выполнении программы с момента фазирования “разворачивается” в пространстве по алгоритму “777” “7”, создает (заполняет) фазовое (сотовое, матричное) пространство.

Геометрически можно представить, как преобразование куба, тетраэдра, октаэдра, икосаэдра, додекаэдра и куба, каждая вершина которых является “фазовой” точкой входа-выхода в n-мерное энерго-информационное поле (пространство) и состоит из 12 уровней.

Изменение свойств информационных объектов происходит динамически в соответствии с внесенными возмущениями, на которые реагирует информационная, «геометрическая» структура объекта. Информационная структура «наслаивается» друг на друга, образуя устойчивую информационную форму. При этом базовая «1» разворачивается в как в (+) так и в (-) по программе «золотого сечения» f.

Функционирование информационного объекта рассматривается как постоянное динамическое равновесие, форма которого определяется информационной «геометрией» объекта в данный момент времени. Изменения «информационной» геометрии, а, следовательно, и законов функционирования, происходят «одновременно» в двух режимах - квазистатическом и переходном.

Отношение внешней информационной структуры к внутренней происходит по программе p в виде листа Мебиуса – «информационная» «1» «превращается» в другую «информационную» «1».

Распаковка «1» по программам p, е, f. по закону «777» «7» позволяет вывести все законы и уравнения физики, химии, биологии, математики и т.д. с использованием обычного калькулятора, не прибегая к дорогостоящим экспериментам.

При этом отношение внешней информации «1» к внутренней информации «1» постоянно и подчиняется закону 777(7), программе (алгоритму) «масштабирования» «золотого сечения» по f., программе (алгоритму) «внутренней» p, программе (алгоритму) «спирали» е .

Каждая материальная структура, фиксируемая нашими органами чувств и приборами - это “разрядка” энергоинформационного поля в “нашей” мерности в конкретной фазовой точке с конкретной длиной “1” информационного кода. При этом плотность информации в фазовой точке энергоинформационного поля соответствует понятию времени, введенному в “нашей” мерности, или уровню “разрядки”, достигнутого на информационной спирали данного кода в нашей мерности.

Изменяя плотность информации путем передачи ее в конкретную фазовую точку при использовании «вращательного» движения (замыкания цикла) можно менять “длину “волнового” пакета, т.е. можно изменять “ время”. Поэтому все материальные структуры, которые мы наблюдаем, представляются как “разрядка” n-мерного энергоинформационного поля в виде конкретных информационных “1” – волновых «цифровых» пакетов, циркулирующих по спирали с определенной фазовой точки и в конкретной фазовой точке n-мерного пространства. При этом структура «информации» при умножении (делении) остается постоянной и содержит «цифровой пакет» являющийся управляющей программой информационной системы.

При достижении “базисной” величины “волнового” пакета происходит «совпадение» фазовых точек при движении по спирали и при приближении к информационной длине “1” происходит “резонанс” - происходит изменение содержания информационной передачи.

Структуры, у которых произошло совпадение по “фазе” “1” проявляют “совпадение” в качестве появления определенной новой структуры или определенного вида энергии, т.е. меняя “фазы” совпадения на информационной спирали, можно у конкретной структуры изменять вид энергии.

Рассматривая передачу информационного кода как “совпадение” фазовых точек при движении по спирали, мы рассматриваем другой код как информационный “резонатор”, при приближении к длине “1” которого происходит “резонанс”.

Рассматривая понятия “резонанса” информационных кодов можно в качестве «примитивного» примера рассмотреть обычный колебательный контур.

Квазистационарные колебательные системы, представляющие собой в традиционной схеме соединение емкостного и индуктивного элементов, не удается осуществить в диапазоне сверхвысоких частот:

- с укорачиванием “длины” “волнового” пакета размеры колебательного контура неизбежно приближаются к его длине;

- в конечном счете, из-за резко возрастающего “излучения” такая система становится неспособной к накоплению данного “информационного кода” и теряет для него резонансные свойства.

Используя прием – передачу информации можно осуществить сохранение «информации» в системе, в которой она остается в пределах ограниченного объема. Для этого необходимо, чтобы движение информационного кода носило циклический или колебательный характер при «управляемом» дробление исходной “1” по закону “777” “7”.

Оба вида движения можно легко реализовать, например, на основе направляющей системы, которая образует замкнутый контур («логика» «Листа Мебиуса») или ограничена полностью “отражающими” плоскостями. Испытания на опытных установках показывают, что свойствам информационного резонатора обладает любая область пространства, ограниченная полностью “отражающей” оболочкой - излучает любая структура.

Используя алгоритм преобразования и передачи «информационных» кодов можно найти те «фазовые» соотношения, при которых происходит совпадение “информационных длин (кодов)”, определить те “фазовые” сдвиги, при которых достигается заданное «энергоинформационное» поле, определить «информационные» структуры, которые имеют максимальную “энергетическую” связь с окружающим энергоинформационным полем, условия образования каналов для приема - передачи, накопления, трансформации информационной длины “1” “волнового” пакета с целью прикладного применения.

При этом каждая составная часть материальных, нематериальных объектов может рассматриваться как сложный информационный объект своего уровня, имеющий свою устойчивую базовую информационную «1», имеющую фрактально-иерархическую структуру, представляющую сложную вложенную информационную структуру объекта, разделенную на информационные уровни.





Определяющими параметрами информационного уровня является диапазон геометрических размеров составляющих его объектов. Любой объект можно представить иерархией уровней геометрий и представлений. При этом геометрии разных уровней подобны, а фрактальная геометрия каждого информационного уровня самоподобна для других объектов этого уровня. Технологический процесс передачи информации подобия, вложенной структуры объекта, подчиняется трем алгоритмам: пи , фи , е по закону «777» «7».

Кроме этого, нужно учесть, что класс объектов, определенный диапазонами их линейных размеров, не имеет жесткого разграничения и можно представить в виде n-мерного сотового пространства, а информационно-сотовое пространство можно представить как циклическое наслоение по спирали информационных событий с их материализацией, дематериализацией по «принципу листа Мебиуса».


Можно рассматривать как класс объектов с размерами от 1 см до 1 м, так можно рассматривать и объекты размером от 1 мм до 1 км. Важным требование, которое информационное сотовое пространство выдвигает для своих конструкций, а к ним относится и человек, является соблюдение информационных свойств геометрического подобия при переходе от одного диапазона геометрических размеров к другому, то есть наличие “вертикальной” информационной иерархии свойств по алгоритмам пи , фи , е .

Геометрические информационные размеры определяют частотные свойства любого объекта для любого вида энергетического взаимодействия. Массовые и зарядовые характеристики объекта также можно рассматривать как свойства его геометрии, но свойства той части геометрии пространства-времени, которая определяет взаимодействие масс и зарядов. По (фи) пространственные информационные геометрические характеристики и свойства геометрии масс объектов характеризуются своими резонансными частотами, а, следовательно, свойствами поглощать и излучать энергию.

С другой стороны, с изменением геометрии изменяются и резонансные свойства, что приводит к изменению свойств информационного «энергообмена» что проявляется в изменении поведения сложного информационного объекта.

Информация о том, “как себя вести”, заключается в фрактально-иерархической форме объекта, определенной вложенными формами составляющих этот объект других объектов нижних уровней и т.д.

Геометрия энергоинформационных объектов не принимается статической. Все части объекта находятся в движении, качественные и количественные показатели которых также определяются фрактально-геометрическими геометриями этих частей. Устойчивость состояний объектов является мерой того, как долго данная «информационная» геометрия будет определять состояние при постоянных возмущениях, то есть локальных модификациях геометрий. Значение пи отвечает за устойчивость состояния, фи, е отражает масштаб глубины развития информационного взаимодействия, от базовой «1» «точки» развития информационного объекта.

Волновой (цифровой) пакет при выполнении программы с момента фазирования “разворачивается” в пространстве по алгоритму “777” “7”, создает (заполняет) фазовое (фрактально - сотовое, матричное) пространство.


Геометрически (переход из одной «фазовой» точки в другую) можно представить, как преобразование тетраэдра, куба, октаэдра, икосаэдра, додекаэдра (вписанных друг в друга, одна «фазовая» фигура «переходит» в другую – все «фазированы») и каждая вершина которых является “фазовой” точкой входа-выхода в n-мерное энергоинформационное поле (пространство) и состоит из 12 уровней.

Структура «информационных» изменений такова, что последовательность актов «информационного» взаимодействия составляющих частей происходит по закону =1 и может быть представлена набором образов-управлений, подчиняющихся жесткому информационному алгоритму закона «777».

Каждый «информационный» образ - состояние можно трактовать как информационную нагрузку, переданную в систему.


Эта информация, внесенная в систему запоминается в ней и приводит к тому, что в ответ на внешнее возмущение система вырабатывает информационный отклик, строго адекватный этому возмущению и приводит к «распаковке» информационной «1» по закону «777» «7», по программам пи , фи , е


Таблица 4. «Свертка» чисел Фибоначчи в «цифровой пакет»





Таблица 5. «Свертка» двоичного ряда


























Таблица 6. Константы, определенные с использованием «обычного» калькулятора через «программы» p, f, е:

Таблица 6.1 Сопоставление существующих универсальных постоянных с универсальными постоянными, определенными из «цифрового» пакета




Таблица 6.2 Электромагнитные постоянные

• Элементарный заряд

• Квант магнитного потока

• Джозефсона отношение

• Квант холловского сопротивления

• Бора магнетон

• Ядерный магнетон




Таблица 6.3 Атомные постоянные

• Тонкой структуры

• Ридберга постоянная

• Бора радиус

• Хартри энергия




Таблица 6.4 Электрон

• Масса

• Удельный заряд

• Молярная масса

• Комптоновская длина волны>

• Классический радиус

• Томсоновское сечение рассеяния




Таблица 6.5 Протон>

• Масса

• Отношение массы протона к массе электрона

• Удельный заряд

• Комптоновская длина волны




Таблица 6.6 Физико-химические константы

• Авогадро постоянная

• Атомная единица массы

• Фарадея постоянная

• Электрон-вольт




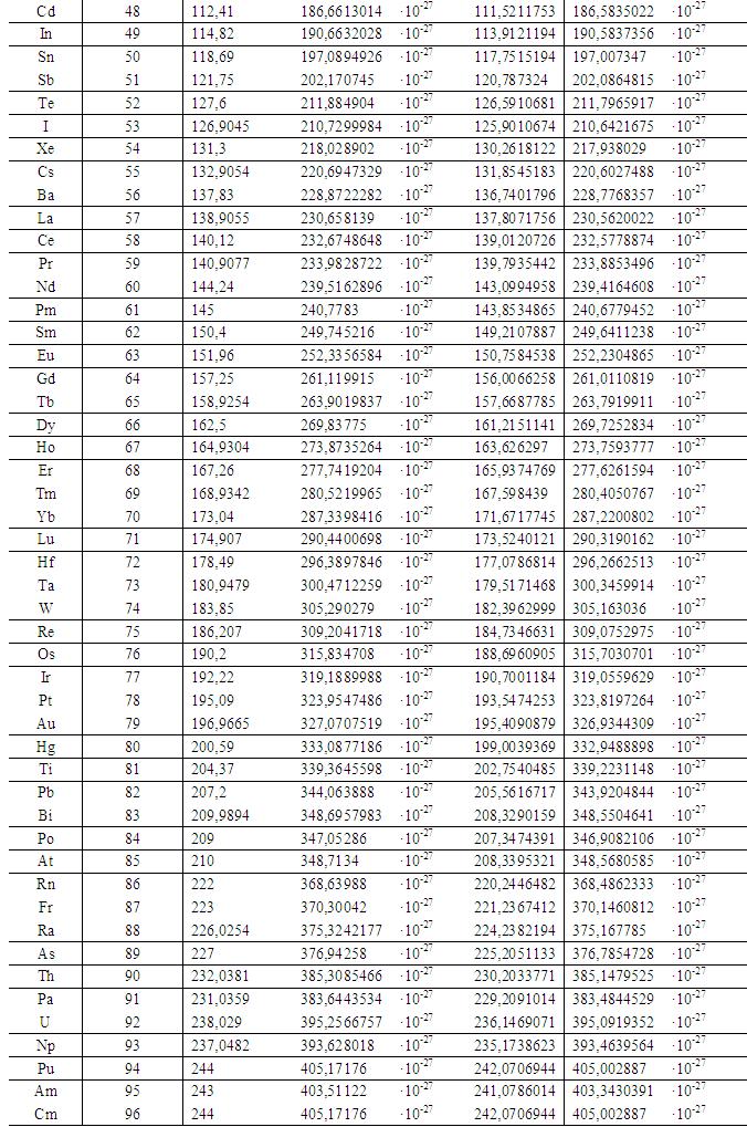
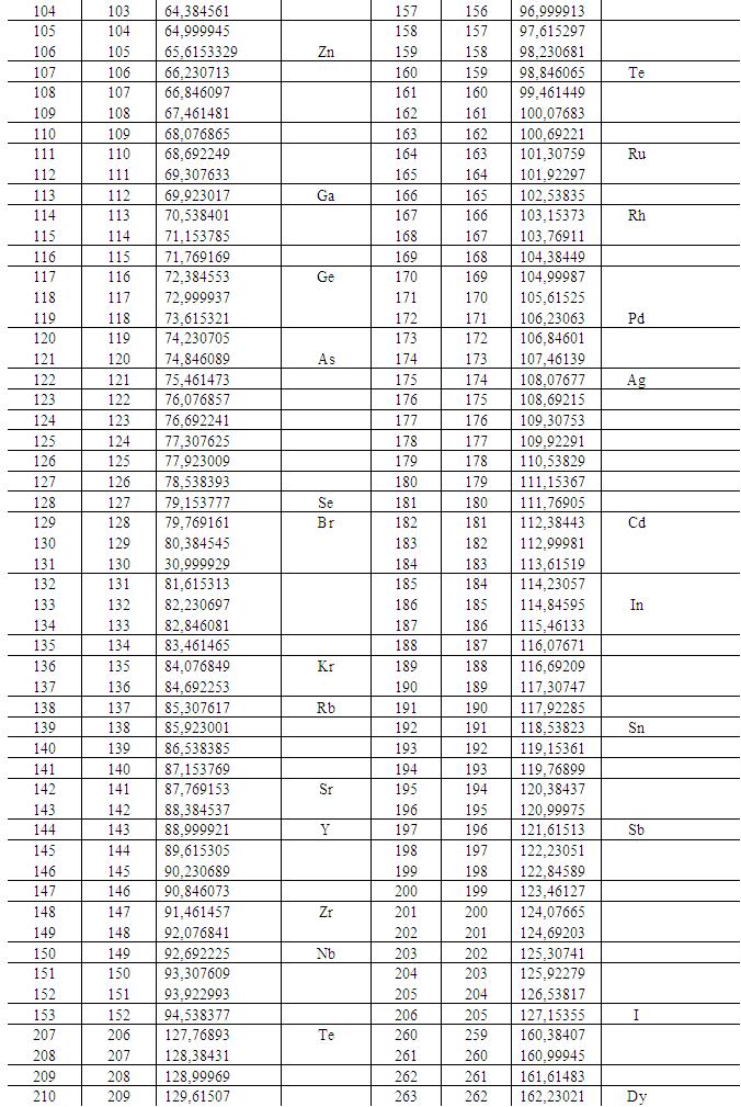
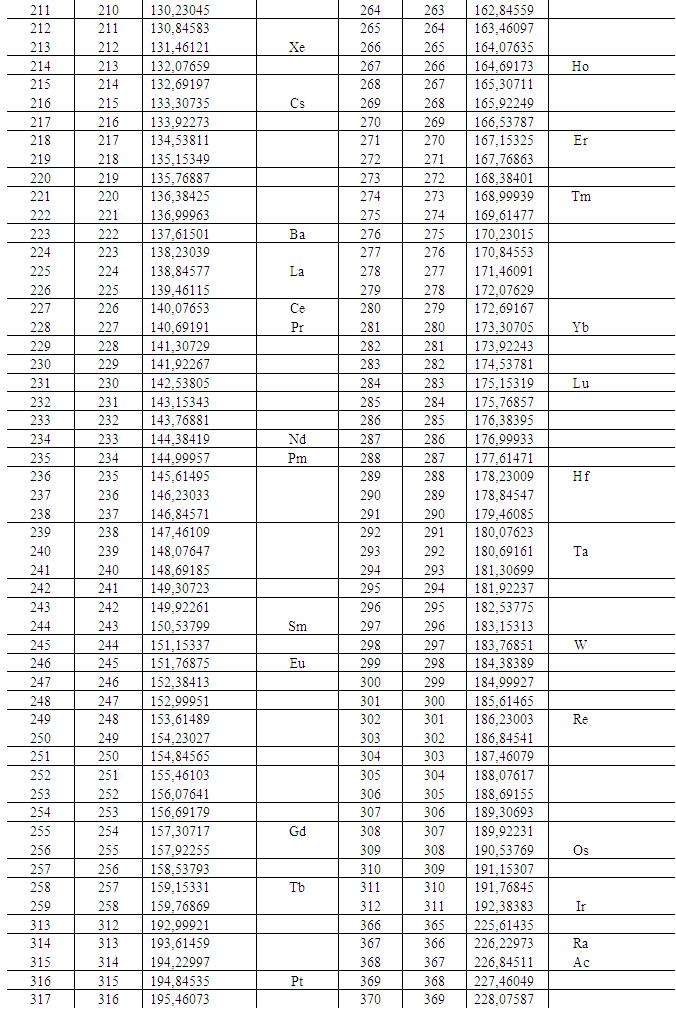
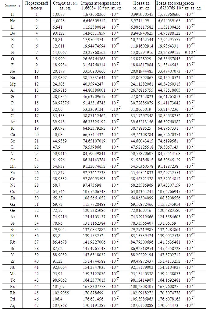
Таблица 6.7. Атомная масса (у.е.) элементов периодической системы, определенная из «цифрового» пакета
















В данной ветке последовательно будут опубликованы расчеты, анализ баз знаний, последовательность вывода из «цифрового» пакета физических величин с использованием «обычного» калькулятора, чтобы любой пользователь, взяв «карандаш», смог самостоятельно «вывести» все математические и физические постоянные известные сегодняшней науке, в том числе вывести новые постоянные, проверить действие закона «777» «7» в «живой» и «неживой» природе, в геометрии построения Египетских пирамид, в архитектуре построения Стоунхенджа, открыть «новые» законы окружающей нас природы, направленные на создание новых приборов и новой техники.


С уважением,

Генеральный директор

НПП «Авиаинструмент» В.М. Семеновских